• Предмет: Математика
  • Автор: Erliess
  • Вопрос задан 2 года назад

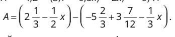
Найдите значение выражения A, если x = -2:
Знайдіть значення виразу A, якщо x = -2:
А=(2 1/3-1/2х)-(-5 2/3+3 7/12-1/3х)
(Я не знаю правильно ли я сделала, прошу помочь)

Приложения:

Ответы

Ответ дал: utemurxadi
0

Ответ:

 a =  \frac{4}{19}  = 4.75

Пошаговое объяснение:

А= 10/3 - (- 17/12)

А= 10/3 + 17/12

А= 19/4

А= 4,75

Приложения:
Вас заинтересует