• Предмет: Алгебра
  • Автор: iro4ka9009910
  • Вопрос задан 2 года назад

Розв'яжіть графічно систему рівнянь:

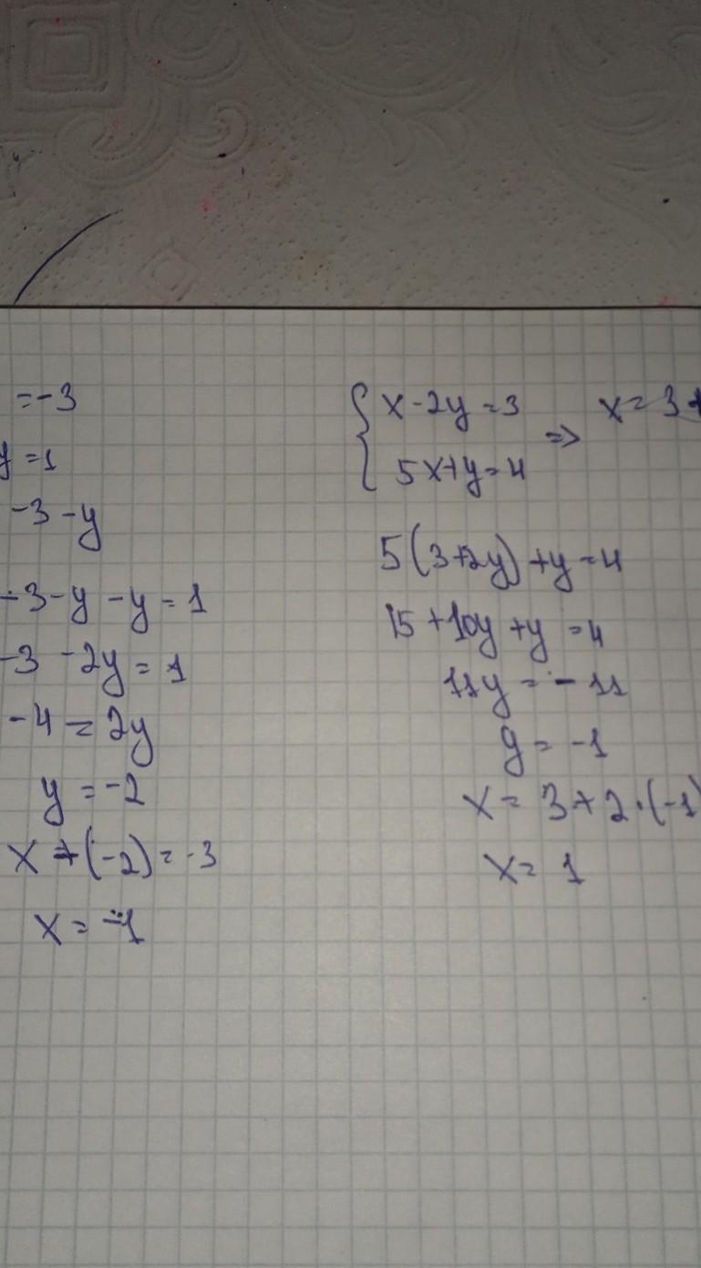
Завдання 1

x+y=-3

x-y=1

Завдання 2

x-2y=3

5x+y=4


Пж очень срочно!!!

Ответы

Ответ дал: bakytulyb444
1

Объяснение:

общм вот был немного невидим

Приложения:
Вас заинтересует