• Предмет: Алгебра
  • Автор: hahhaha4
  • Вопрос задан 1 год назад

знайдіть область визначення функц СРОЧНО 35б

Приложения:

Ответы

Ответ дал: Universalka
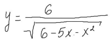
1

\displaystyle\bf\\y=\frac{6}{\sqrt{6-5x-x^{2} } } \\\\\\6-5x-x^{2} > 0\\\\x^{2}+5x-6 < 0\\\\(x-1)(x+6) < 0\\\\\\+ + + + + (-6) - - - - - (1) + + + + + \\\\\\Otvet \ : \ D(y)=(-6 \ ; \ 1)


hahhaha4: https://znanija.com/task/52891254 допоможіть з цим завданням, якщо зможете) там 100 б
Вас заинтересует