• Предмет: Математика
  • Автор: babardara72
  • Вопрос задан 2 года назад

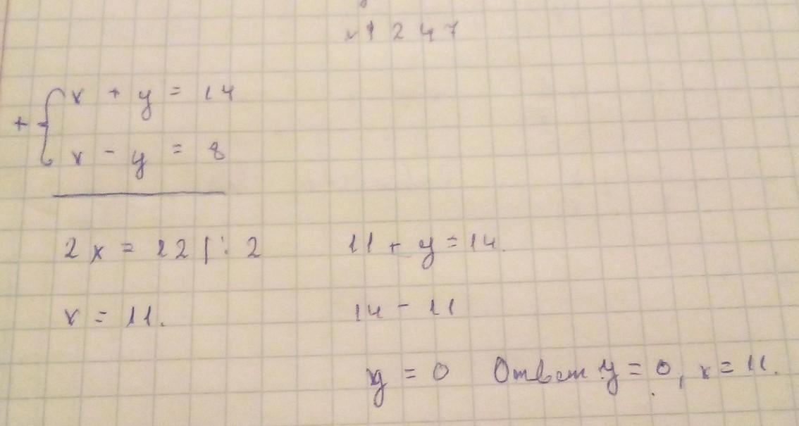
1247. найдите решение системы уравнений.
2.{x-y=7
{x+y=23

3.{x+y=32
{x-y=14
можете пожалуйста решить эти 2 уравнения как на фото, а то я не очень понимаю что делать, математика зверь лютый​

Приложения:

darhanermekbaev: на фото нужно было до решать: 11 + у = 14; у = 14 - 11; у = 3
darhanermekbaev: х + у = 14; подставляете значения 11 + 3 = 14; 14 = 14
darhanermekbaev: х - у = 8; подставляете значения 11 - 3 = 8; 8 = 8
darhanermekbaev: Ответ: х = 11, у = 3

Ответы

Ответ дал: darhanermekbaev
0

Ответ:

2.Ответ: х = 15, у = 8       3.Ответ: х = 23, у = 9  

Пошаговое объяснение:

{x-y=7          15 - 8 = 7   ⇒  7 = 7

{x+y=23      15 + у = 23  ⇒ у = 23 - 15 ⇒ у = 8

2х = 30 делим на 2        

х = 15

Ответ: х = 15, у = 8

{x+y=32       23 + у = 32 ⇒ у = 32 - 23 ⇒ у = 9

{x-y=14         23 - 9 = 14 ⇒ 14 = 14

2х = 46 делим на 2

х = 23

Ответ: х = 23, у = 9    

Вас заинтересует