СРОЧНО!!! Люди, помогите, пожалуйста, решить пример (170) под буквами В, Г. Второй лист (А буква) -- пример решения.
Приложения:
Ответы
Ответ дал:
0
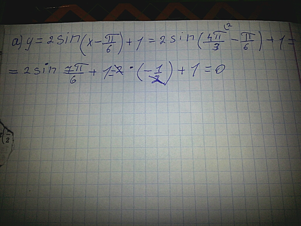
в) y = 2sin(7π/6 - π/6) +1 = 2sin(6π/6) + 1 = 2sin(π) + 1 = 1
г) y = -sin(-15π/4 + π/4) = -sin(-14π/4) = sin(14π/4) = sin(7π/2) = sin(4π - π/2) = sin(-π/2) = -sin(π/2) = -1
г) y = -sin(-15π/4 + π/4) = -sin(-14π/4) = sin(14π/4) = sin(7π/2) = sin(4π - π/2) = sin(-π/2) = -sin(π/2) = -1
Вас заинтересует
3 года назад
3 года назад
8 лет назад
8 лет назад
11 лет назад
11 лет назад
11 лет назад