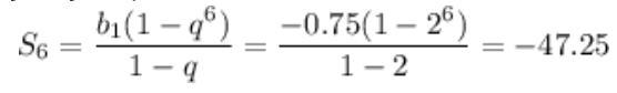
Дана геометрическая прогрессия (bn), знаменатель которой равен 2, а b1=–3/4. Найдите сумму первых шести её членов.
Ответы
Ответ дал:
1
Ответ:
Из формулы суммы первых n членов геометрической прогрессии найдем сумму первых шести её членов
Приложения:
kwerfh:
дай бог тебе здоровья
Спасибо)
Удачи в школе !)
Удачи в школе !)
Вас заинтересует
1 год назад
1 год назад
1 год назад
3 года назад
3 года назад
8 лет назад