Ответы
Ответ дал:
2
Ответ:
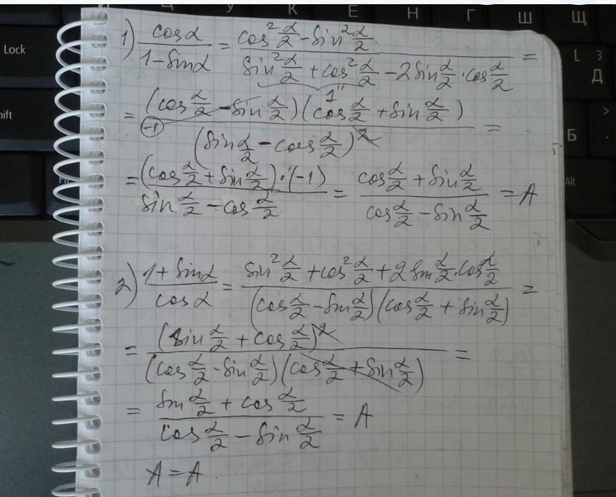
На фото, извини за кривой почерк
Вроде правильно
Приложения:

evaaksenovs590:
спасибо большое
Вас заинтересует
1 год назад
1 год назад
1 год назад
3 года назад
3 года назад