• Предмет: Геометрия
  • Автор: ДианаИльиных
  • Вопрос задан 10 лет назад

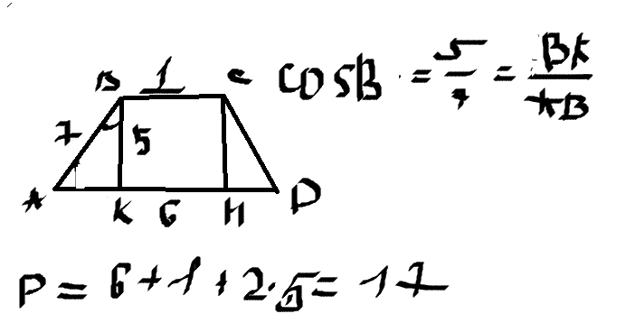
основания равнобедренной трапеции равны 1 и 6. Найти периметр трапеции, если косинусиее острого угла равен 5/7

Ответы

Ответ дал: Аноним
0
..........................................
Приложения:
Вас заинтересует