• Предмет: Математика
  • Автор: mikolau2009
  • Вопрос задан 2 года назад

при яких значеннях параметра a многочлен x^3+ax-4x+6 поділений на двочлен x+3 дає в остачі 9???
даю всі бали

Ответы

Ответ дал: zyrabverbenko049038
0

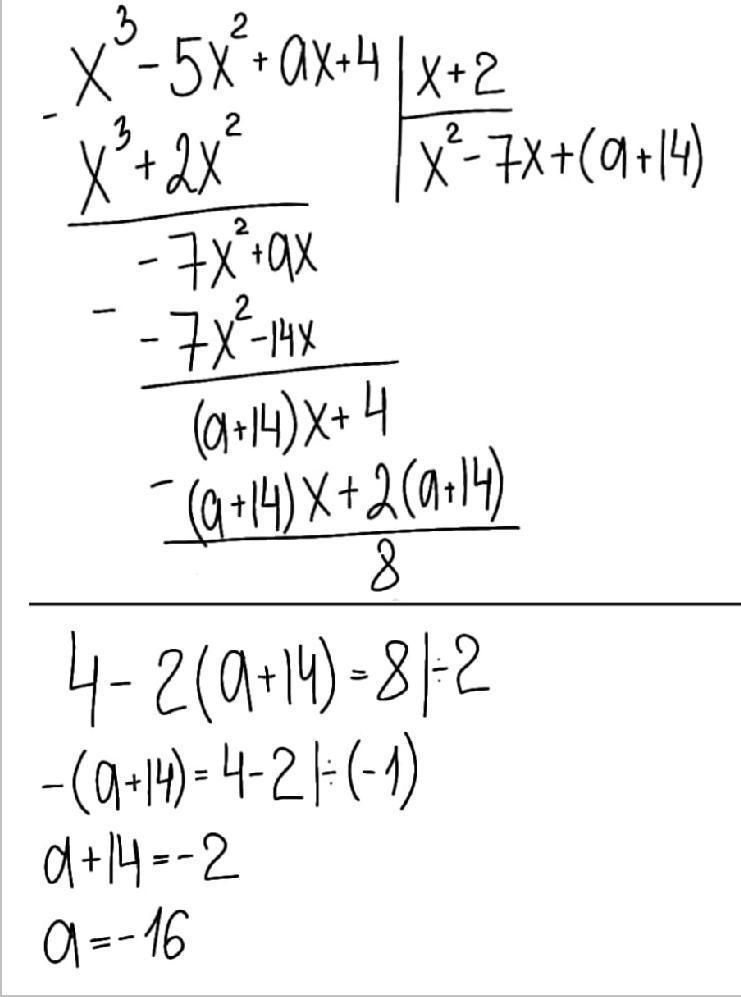
Ответ:

Пошаговое объяснение:

а =  -16

Объяснение:

(Нахождение параметра см. во вложении)

Проверка:

(x+2)(x²-7x+(-16+14))+8 = x³-5x²-16x+4

(x+2)(x²-7x-2)+8 = x³-5x²-16x+4

x³-7x²-2x+2x²-14x-4+8 = x³-5x²-16x+4

x³-5x²-16x+4 = x³-5x²-16x+4

Верно

Приложения:

mikolau2009: а можно за т. безу
mikolau2009: спасибо
Вас заинтересует