• Предмет: Математика
  • Автор: karosanya
  • Вопрос задан 10 лет назад

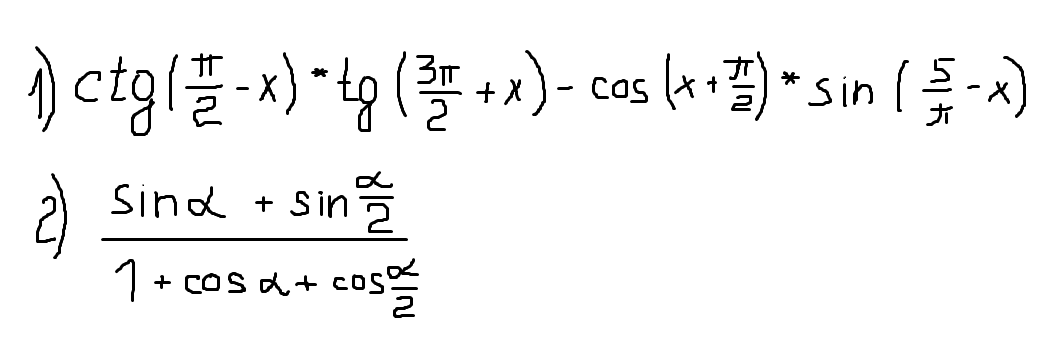
тригонометрия, помогите пожалуйста упростить :'(

1. ctg((π/2)-x)*tg((3π/2+x))-cos(x+(π/2))*sin((5π)-x)
2. (sinα+sin(α/2))/(1+cosα+cos(α/2)) 
 

Приложения:

Ответы

Ответ дал: neronax
0
1) tgx*ctgx*(-1) - sinx*sinx = -sin^2x-1
Вас заинтересует