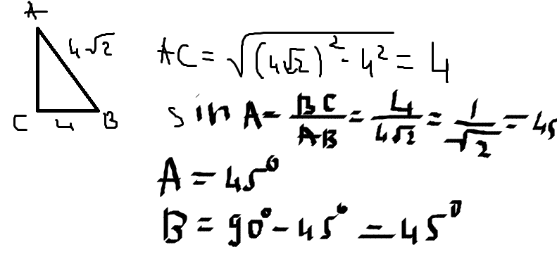
в прямоугольном треугольнике гипотенуза равна 4√2 см А один из катетов равен 4 см , Найдите второй катет острые углы треугольника и его площадь
Ответы
Ответ дал:
0
..............................................
Приложения:

Ответ дал:
0
1)Диагональ прямоугольника образует с одной из его сторон угол 60 градусов . найдите стороны прямоугольника и его площадь
Вас заинтересует
2 года назад
8 лет назад
10 лет назад
10 лет назад