• Предмет: Алгебра
  • Автор: Simbachca
  • Вопрос задан 2 года назад

Хэлп ми плиз на картинке)

Приложения:

Ответы

Ответ дал: Bobik23598
1

Ответ:

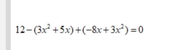
12-(3x^2+5x)+(-8x+3x^2)=0

Раскроим скобки:

12-3x²-5x-8x+3x²=0

Упростим:

12-13x=0

-13x=-12

x=12/13


Bobik23598: надеюсь верно
Simbachca: Спасибо
Simbachca: Да всё правильно)
Ответ дал: сок111213
0

12 - (3 {x}^{2}  + 5x) + ( - 8x + 3 {x}^{2} ) = 0 \\ 12 - 3 {x}^{2}  - 5x - 8x + 3 {x}^{2}  = 0 \\  - 13x =  - 12 \\ x =  \frac{12}{13}

Вас заинтересует