• Предмет: Математика
  • Автор: karosanya
  • Вопрос задан 10 лет назад

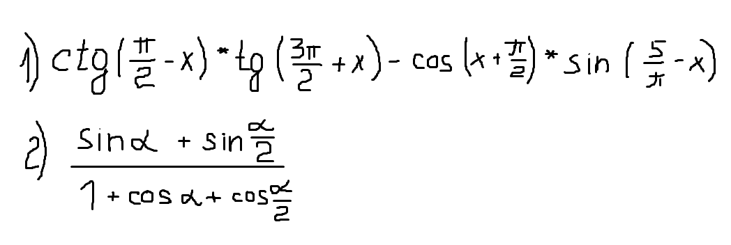
2 задание плииииз :'( упростить

Приложения:

Ответы

Ответ дал: mailforazi
0
sina=2sin frac{a}{2} cos frac{a}{2}  \  \ cosa=cos^2 frac{a}{2} -sin^2 frac{a}{2}  \  \  =================== \  \  frac{2sin frac{a}{2}cos frac{a}{2}+sin frac{a}{2}}{1+cos^2 frac{a}{2}-sin^2 frac{a}{2}+cos frac{a}{2}   }} = frac{sin frac{a}{2}(2cosfrac{a}{2}+1) }{2cos^2frac{a}{2}+cosfrac{a}{2}} = frac{sinfrac{a}{2}(2cosfrac{a}{2}+1)}{cosfrac{a}{2}(2cosfrac{a}{2}+1)} =tgfrac{a}{2}
Вас заинтересует