СРОЧНО В ТЕЧЕНИИ 10 МИНУТ НАДО!40 БАЛЛОВ
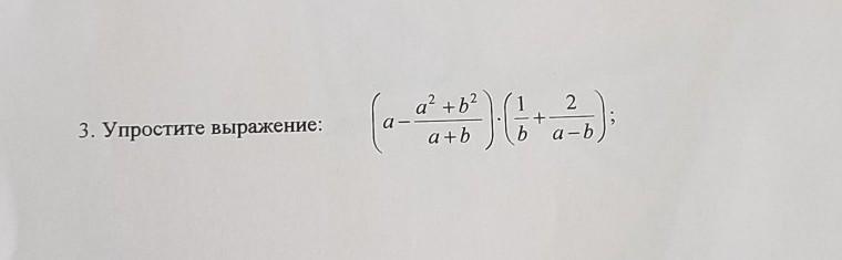
3. Упростите выражение: a² +b2 a+b (20, + 2 a-b
Приложения:

Ответы
Ответ дал:
0
Вас заинтересует
1 год назад
1 год назад
1 год назад
1 год назад
3 года назад