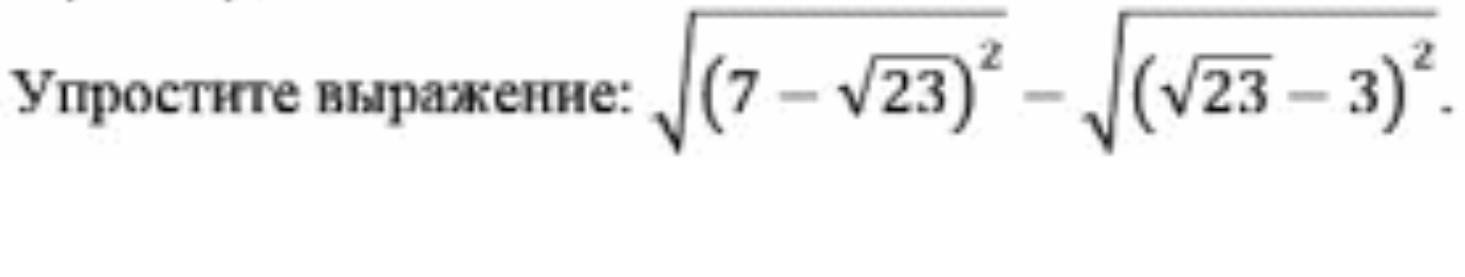
УПРОСТИТЕ ВЫРАЖЕНИЕ!!! ДАЮ 45 БАЛЛОВ СДЕЛАЙТЕ ПОЖАЛУЙСТА В КРОТЧАЙШИЕ СРОКИ!!!ЗАДАНИЕ НА СКРИНШОТЕ
Приложения:

Ответы
Ответ дал:
0
Вот ответ пользуйся!!!
Приложения:

Вас заинтересует
1 год назад
1 год назад
1 год назад
1 год назад
3 года назад
3 года назад
8 лет назад