• Предмет: Физика
  • Автор: farlethru
  • Вопрос задан 2 года назад

ФИЗИКА 50 БАЛЛОВ
НЕ ИСПОЛЬЗОВАТЬ CHAT GPT
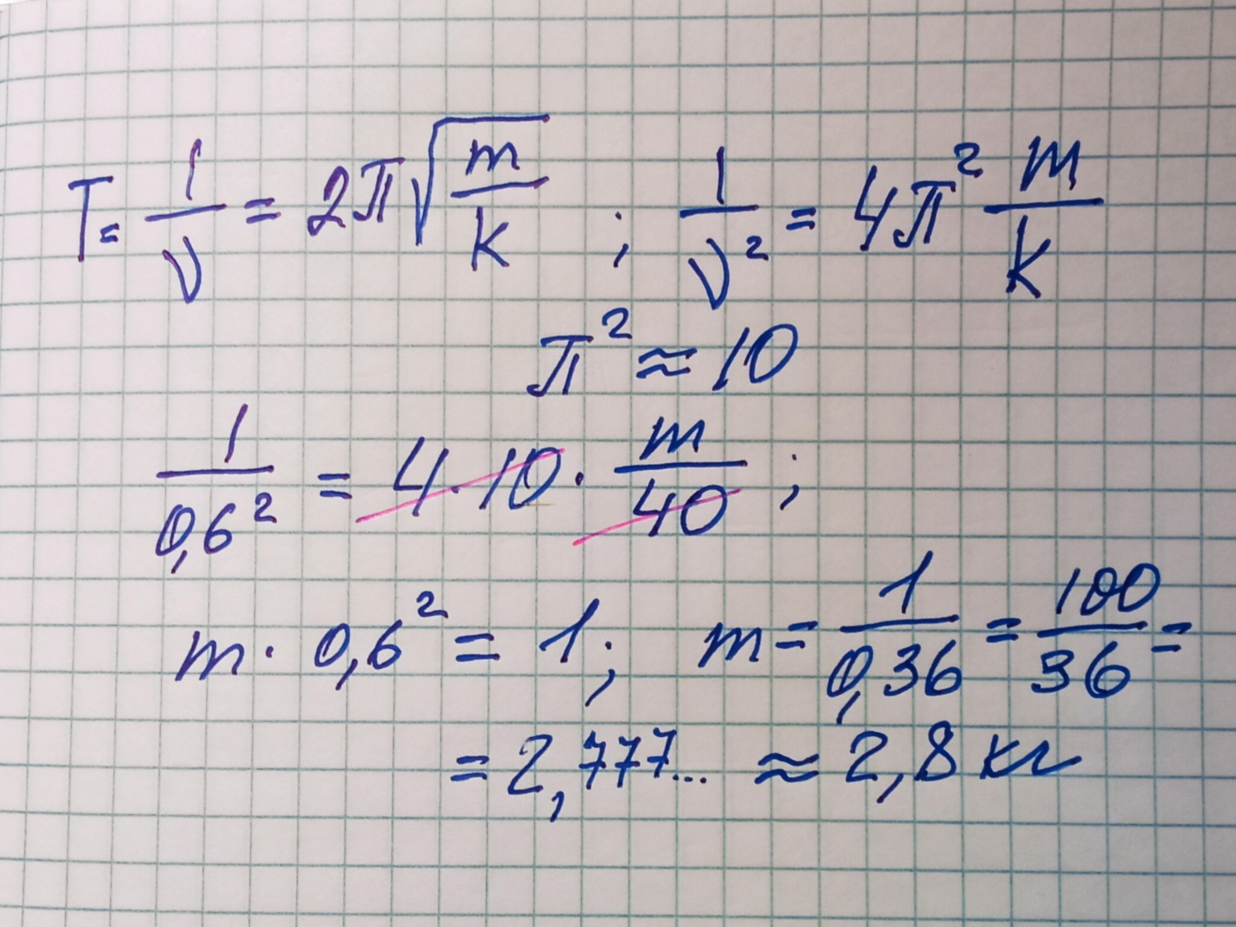
Тело массой m, подвешено к концу пружины, колеблется с Определите массу этого тела, если жесткость пружины равна 40 н/м.​


Cohendd: Период Т=2π√(m/k). Чтобы найти массу нужно знать ещё Т, период колебаний или частоту. Или число колебаний за какое-то время. Отредактируйте, пожалуйста, вопрос.
Cohendd: Из Вашей задачи, заданной ранее, частота 0,6 Гц.

Ответы

Ответ дал: Cohendd
0

Ответ:

Объяснение: частота 0,6 Гц.

Приложения:

alinatsolololo: Помогите с заданием по физике. Пожалуйста
farlethru: огромное спасибо!!!
Вас заинтересует