• Предмет: Алгебра
  • Автор: Yuna2811
  • Вопрос задан 2 года назад

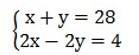
Умова якої задачі відповідає даній системі рівнянь?(задача на фото)


1)Вік сестри і брата разом становить 28 років. Якщо вік кожного зменшити вдвічі, то отриманий вік сестри буде більший за отриманий вік брата на 4 роки.


2)Вік сестри і брата разом становить 28 років. Якщо вік кожного збільшити на 2, то отриманий вік сестри буде більший за отриманий вік брата на 4 роки.


3)Різниця між віком сестри і брата становить 4 роки. Якщо вік кожного збільшити вдвічі, то отриманий вік сестри буде більший за отриманий вік брата на 28 років.


4)Вік сестри і брата разом становить 28 років. Якщо вік кожного збільшити вдвічі, то отриманий вік сестри буде більший за отриманий вік брата на 4 роки.

Приложения:

Ответы

Ответ дал: nastya234565432
0

Відповідь:2

Пояснення:

Вас заинтересует