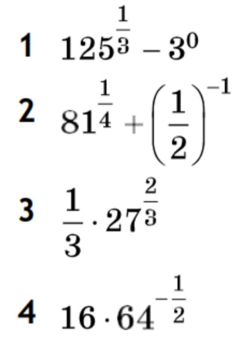
даю 47 балів
Розв'яжіть детально
будь-ласка без спаму
(якщо ви дуже розумний/а можете подивитися моє останнє запитання будь ласка) буду дуже вам вдячна за все
Приложения:

Ответы
Ответ дал:
1
anastasiahodos32:
дякую вам
Ответ дал:
1
Ответ:
Объяснение:
Вас заинтересует
1 год назад
1 год назад
1 год назад
1 год назад
3 года назад
3 года назад