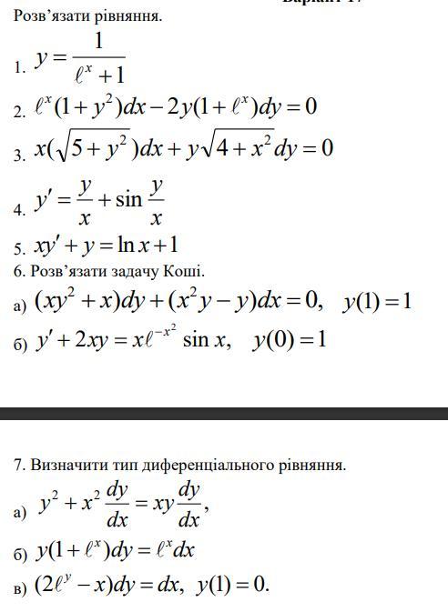
Допоможіть зробити ЛІНІЙНІ ОДНОРІДНІ ДИФЕРЕНЦІАЛЬНІ РІВНЯННЯ ЗІ СТАЛИМИ КОЕФІЦІЄНТАМИ
Приложения:

Ответы
Ответ дал:
0
Корень поделить на
Пошаговое объяснение:
Вас заинтересует
1 год назад
1 год назад
3 года назад
3 года назад
8 лет назад