• Предмет: Математика
  • Автор: sdhdhdhh
  • Вопрос задан 1 год назад

Виконай дії:
- 27/40 / (- 9/10)

Ответы

Ответ дал: nadyallama
0

Ответ:

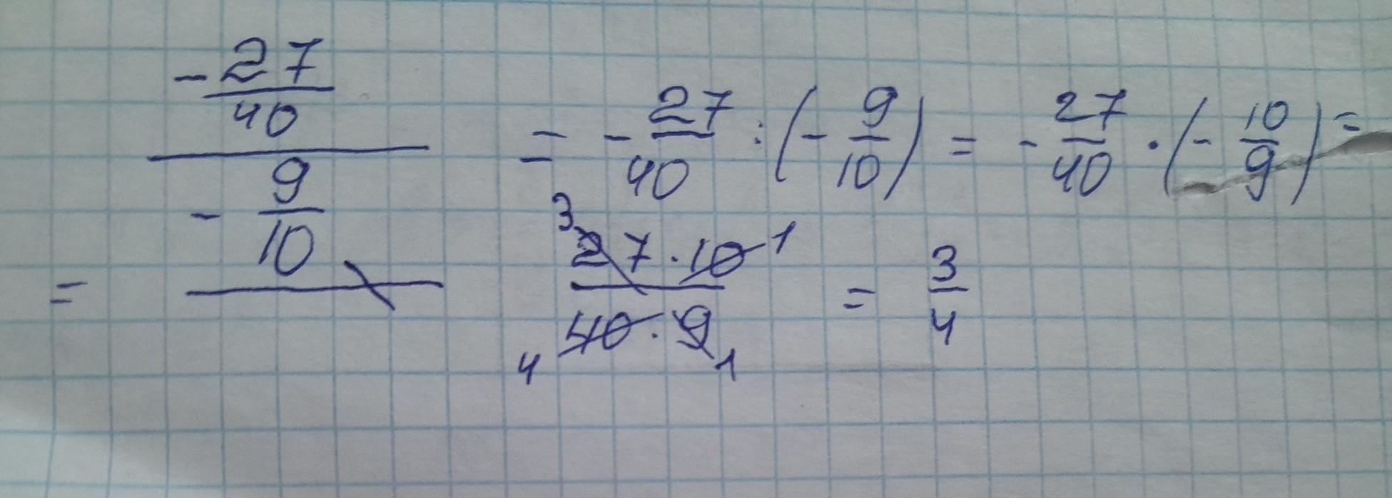
на фото

Пошаговое объяснение:

можно лучший ответ пожалуйста?))

Приложения:
Ответ дал: Animeco
0

-27/40:(-9/10)=-27/40×(-10/9)=3/4=0,75

Вас заинтересует