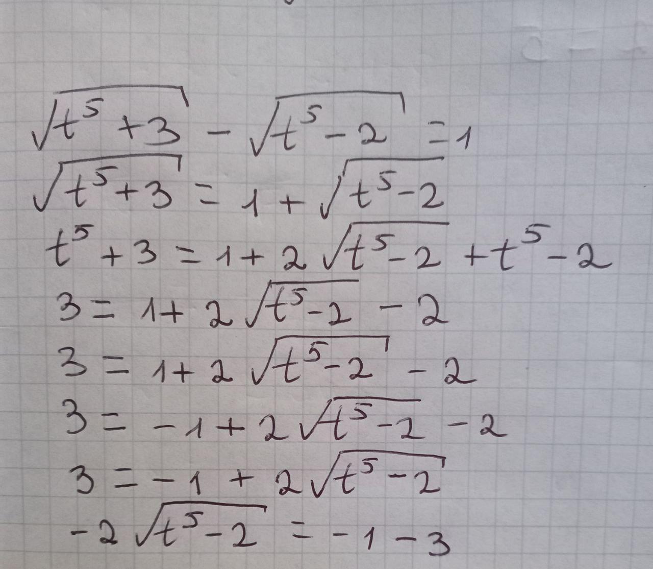
Чему равно значение выражения √t^5+3 + √t^5-2 если √t^5+3 - √t^5-2
Нужно пошаговое решение
Приложения:

Ответы
Ответ дал:
0
Відповідь:5
Пояснення:
Приложения:


Вас заинтересует
1 год назад
1 год назад
3 года назад
8 лет назад
8 лет назад