Ответы
Ответ дал:
0
""""""""""""""""""""""""""""""""
Приложения:
Ответ дал:
0
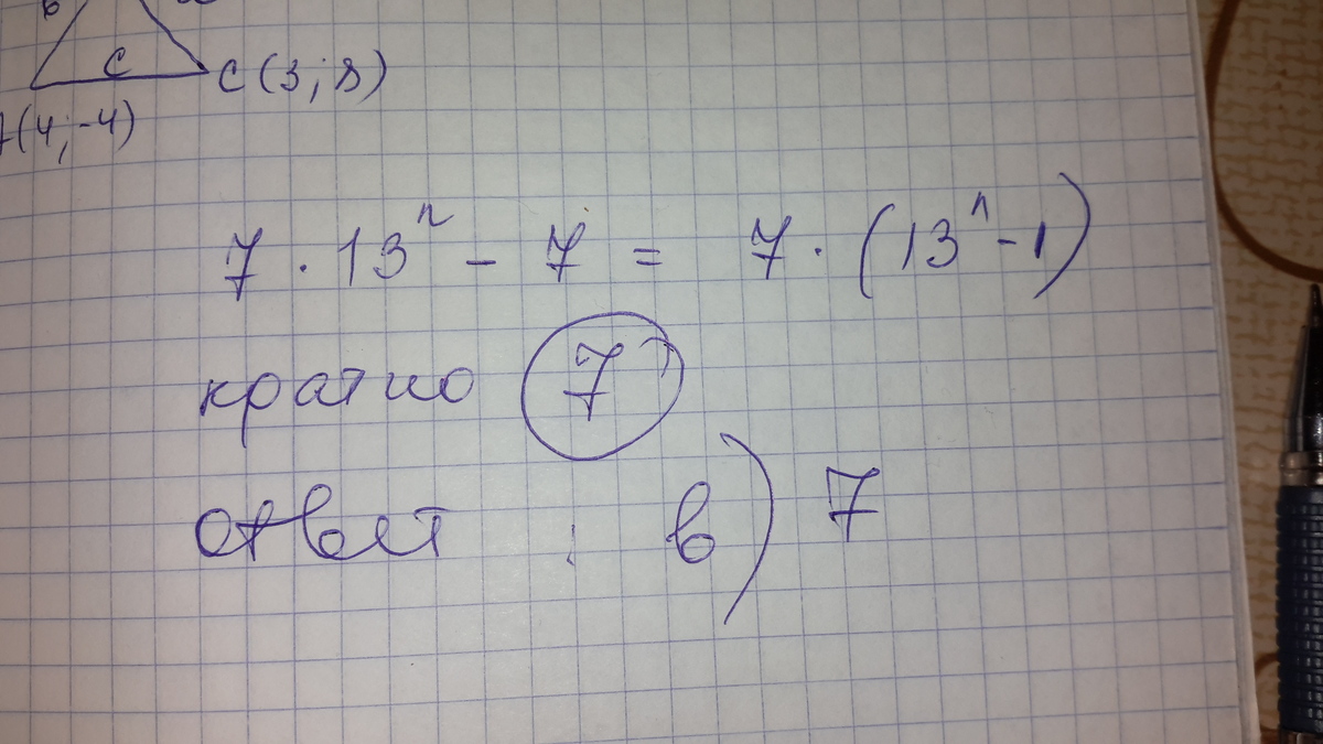
7 * 13^n - 7 = 7 (13^n - 1) - гарантированно делится на 7.
На 3: 13^n = (12 + 1)^n = 12*(...) + 1 - степень даёт остаток 1 при делении на 3. Тогда 13^n - 1 делится на 3 при всех n
На 6: 13^n - нечётное число, отсюда 13^n - 1 - четное. Число делится на 3 и на 2 -> делится на 6.
На 13: число на 13 не делится, т.к. ни 7 не делится на 13, ни 13^n-1 не делится на 13, а 13 - простое число.
а), б), в)
На 3: 13^n = (12 + 1)^n = 12*(...) + 1 - степень даёт остаток 1 при делении на 3. Тогда 13^n - 1 делится на 3 при всех n
На 6: 13^n - нечётное число, отсюда 13^n - 1 - четное. Число делится на 3 и на 2 -> делится на 6.
На 13: число на 13 не делится, т.к. ни 7 не делится на 13, ни 13^n-1 не делится на 13, а 13 - простое число.
а), б), в)
Приложения:
Вас заинтересует
3 года назад
3 года назад
8 лет назад
8 лет назад
11 лет назад