• Предмет: Алгебра
  • Автор: sahkamolnie
  • Вопрос задан 2 года назад

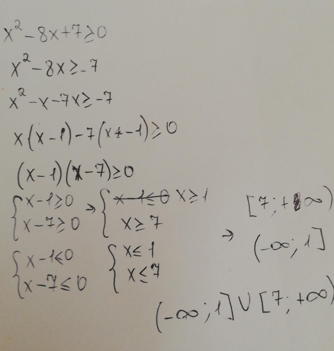
помогите все на фото решите не равенство​

Приложения:

MAXSUPERBRAIN: Photomath в помощь, мне лень это расписывать...

Ответы

Ответ дал: alikrodnoydosan
0

Прости если не понятно

Приложения:
Вас заинтересует