• Предмет: Математика
  • Автор: mashenka03525
  • Вопрос задан 2 года назад

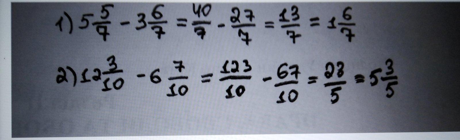
обєснить 2 примера словами как ми узнали 40 7....

Приложения:

Ответы

Ответ дал: iramazurk
1

Пошаговое объяснение:

5 5/7 = (5*7 + 5)/7 = (35+5)/7 = 40/7

3 6/7 = (3*7 + 6)/7 = (21+6)/7 = 27/7

1

5 5/7 - 3 6/7 = 4 12/7 - 3 6/7 = 1 6/7

2

12 3/10 - 6 7/10 = 11 13/10 - 6 7/10 = 5 6/10 = 5 3/5

Вас заинтересует