• Предмет: Алгебра
  • Автор: dmitroderebcinskij
  • Вопрос задан 2 года назад

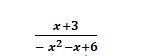
Скоротіть Дріб (допоможіть будь ласка)

Приложения:

Ответы

Ответ дал: k18284592
0

 -  \frac{1}{x - 2}

1). Запишемо спочатку ОДЗ: -х²-х+6≠0

2). Потім записуємо рівняння

  \frac{x + 3}{ - (x - 2)(x + 3)}

3). Потрібно скоротити в чисельнику х+3 та в знаменнику х+3

4). При скороченні цього виразу ми отримуємо результат

 -  \frac{1}{x - 2}

Вас заинтересует