• Предмет: Алгебра
  • Автор: saidovabdusamad12
  • Вопрос задан 2 года назад

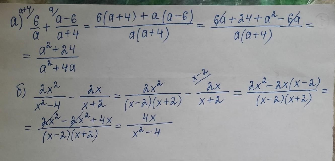
2. Выполните действия: 3-6 a) + D a +4 ; б)​

Приложения:

Ответы

Ответ дал: germiona99
0

Ответ:

Решение смотрите на фото

Приложения:
Вас заинтересует