• Предмет: Алгебра
  • Автор: KatyaTyu123
  • Вопрос задан 2 года назад

Помогите пожалуйста с одним примером

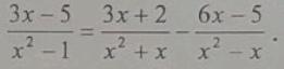
Приложения:

Ответы

Ответ дал: сок111213
1

x\neq1 \:  \:  \:  \:  \: x\neq - 1 \:  \:  \:  \:  \: x\neq0 \\  \frac{3x - 5}{ {x}^{2}  - 1}  =  \frac{3x + 2}{ {x}^{2} + x }  -  \frac{6x - 5}{ {x}^{2} - x }  \\  \frac{3x - 5}{(x - 1)(x + 1)}  -  \frac{3x + 2}{x(x + 1)}  +  \frac{6x  - 5}{x(x - 1)}  = 0 \\  \frac{x(3x - 5) - (3x + 2)(x - 1) + (6x - 5)(x + 1)}{x(x - 1)(x + 1)}  = 0 \\  \frac{3x {}^{2}  - 5x - 3 {x}^{2} + 3x - 2x + 2 + 6 {x}^{2}   + 6x - 5x - 5}{x(x - 1)(x + 1)}  = 0 \\  \frac{6{x}^{2}  - 3x - 3}{x(x - 1)(x + 1)}  = 0 \\ 6 {x}^{2}  - 3x - 3 = 0 \\ 2 {x}^{2}  - x - 1 = 0 \\ a = 2 \\ b =  -1  \\ c =   - 1\\ D =  {b}^{2}  - 4ac = ( -1 ) {}^{2}  - 4 \times 2 \times ( - 1) =  \\  = 1 + 8 = 9 \\ x_{1} =  \frac{1 - 3}{2 \times 2} =  -  \frac{2}{4}  =  - 0.5  \\ x_{2} =  \frac{1 + 3}{ 2\times 2}  =  \frac{4}{4}  = 1

Второй корень не подходит

Ответ: х = - 0,5

Вас заинтересует