• Предмет: Математика
  • Автор: Lai0k
  • Вопрос задан 2 года назад

Срочно надо написать все в столбик
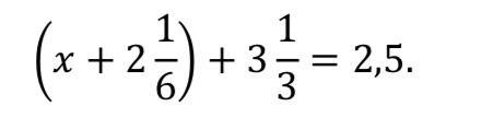
Решите уравнение

Приложения:

Ответы

Ответ дал: ventikadzuha34
0

Ответ:

надеюсь понятно

........

Приложения:
Ответ дал: lutsevichdima
1

Ответ:

Пошаговое объяснение:

x + 2 1/6 = 2,5 - 3 1/3

x + 2 1/6 = -1 1/6

x = -1 1/6 - 2 1/6

x = -3 1/3

Вас заинтересует