• Предмет: Алгебра
  • Автор: diskholodov028
  • Вопрос задан 2 года назад

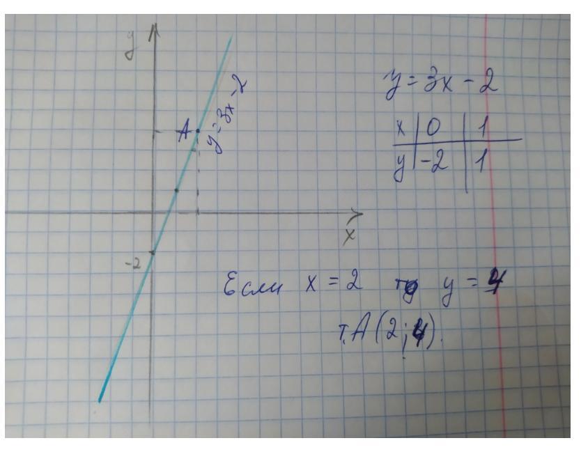
пожалуйста помогите мне, Побудувати графік ф-ції; y=3x-2​

Ответы

Ответ дал: banditka1267
0

Відповідь:

на фото

Пояснення:

Приложения:

diskholodov028: спасибо большое
banditka1267: не за что))
Вас заинтересует