• Предмет: Алгебра
  • Автор: dimon2242
  • Вопрос задан 10 лет назад

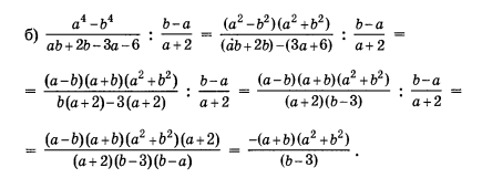
Куда пропадает (a+2) в знаменателе в третьем действии после второго? b(a+2)-3(a+2) -> (b-3)(a+2) <- Вот это!

Приложения:

Ответы

Ответ дал: mmb1
0
b(a+2)-3(a+2)=(b-3)(a+2) оно никуда не пропало вынесли за скобку и получилось вместо дразности произведение
ab-bc=b(a-c)
Ответ дал: dimon2242
0
Да я о другом. Я о том, куда потом исчез b, который вынесли за скобки. Уже понял.
Вас заинтересует