• Предмет: Алгебра
  • Автор: lolik2289aaa
  • Вопрос задан 2 года назад

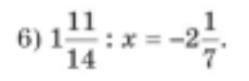
Розв'яжіть будь ласка рівняння розписавши його будь ласка, дуже дуже прошуу!!!!!

Приложения:

Ответы

Ответ дал: sneganakatsapir1
1

Ответ:

-5/6

Объяснение:

Вас заинтересует