• Предмет: Алгебра
  • Автор: aseld96
  • Вопрос задан 10 лет назад

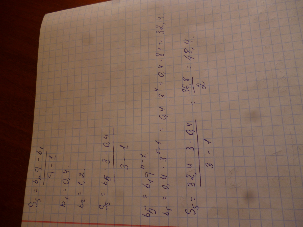
В геометрической прогрессии b1 =0,4, a  b2=l,2. Найдите сумму пяти первых членов этой прогрессии.

Ответы

Ответ дал: yagladkiy
0
........................
Приложения:
Ответ дал: Yulehcka
0
надо q-1 а не наобород
Ответ дал: yagladkiy
0
Я с другой формулы это нашла
Ответ дал: Yulehcka
0
я уже поняла но эта легче)))
Ответ дал: Yulehcka
0
.......................

Приложения:
Вас заинтересует