• Предмет: Алгебра
  • Автор: moonsie
  • Вопрос задан 2 года назад

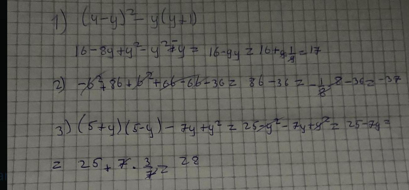
упростить выражение и найти его значение:

Приложения:

Ответы

Ответ дал: alexeyksenofontovvla
1

Ответ:17

-37

28

Объяснение:

Приложения:

moonsie: спасибо большое!
Вас заинтересует