• Предмет: Химия
  • Автор: dimabest2212
  • Вопрос задан 2 года назад

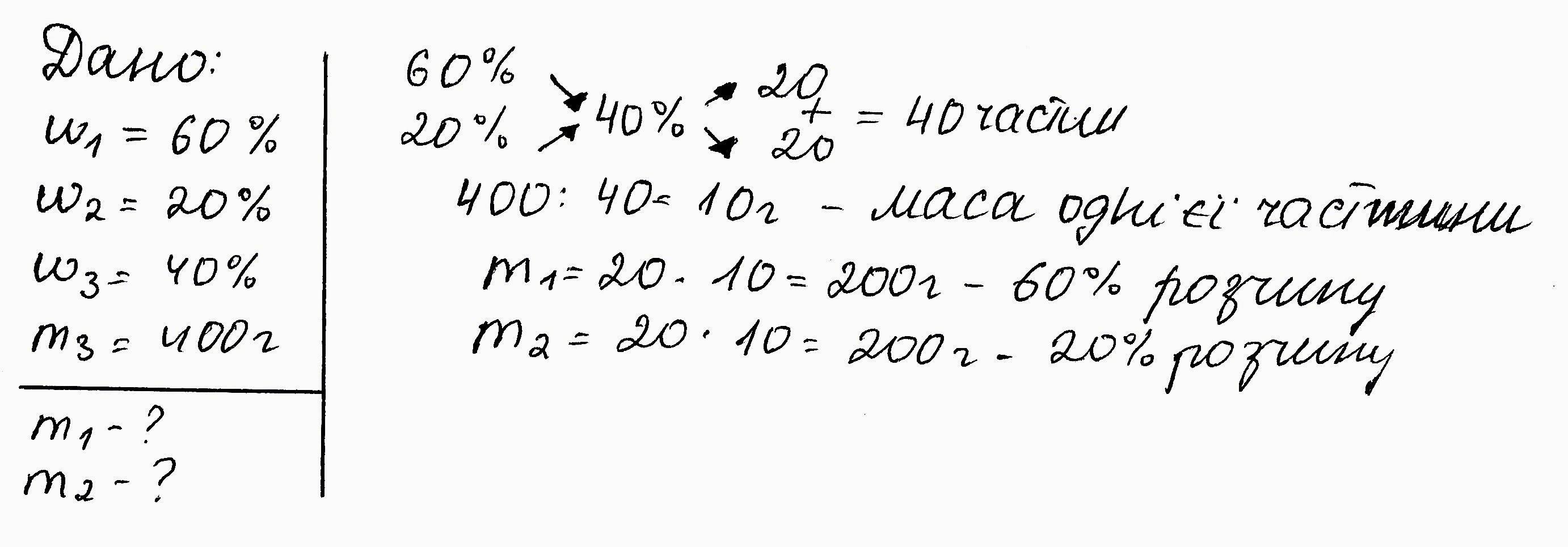
необхідно приготувати 400 г 40% розчину кислоти, якщо ми маємо 60 % розчин та 20% розчин кислоти

Ответы

Ответ дал: balukevictatana09
2

удачи

Объяснение: ....

.

Приложения:
Ответ дал: mlrendidenkul
1

Объяснения на этой бумажке. Удачи тебе!

Приложения:
Вас заинтересует