РЕШИТЕ ПОЖАЛУЙСТА:)
1. АВСД- квадрат,АВ =6
Найти а) площадь круга, вписанного в квадрат, б) длину окружности, описанной около квадрата
2. Найти площадь правильного треугольника, вписанного в окружность, длина которой равна 12
Ответы
Ответ дал:
0
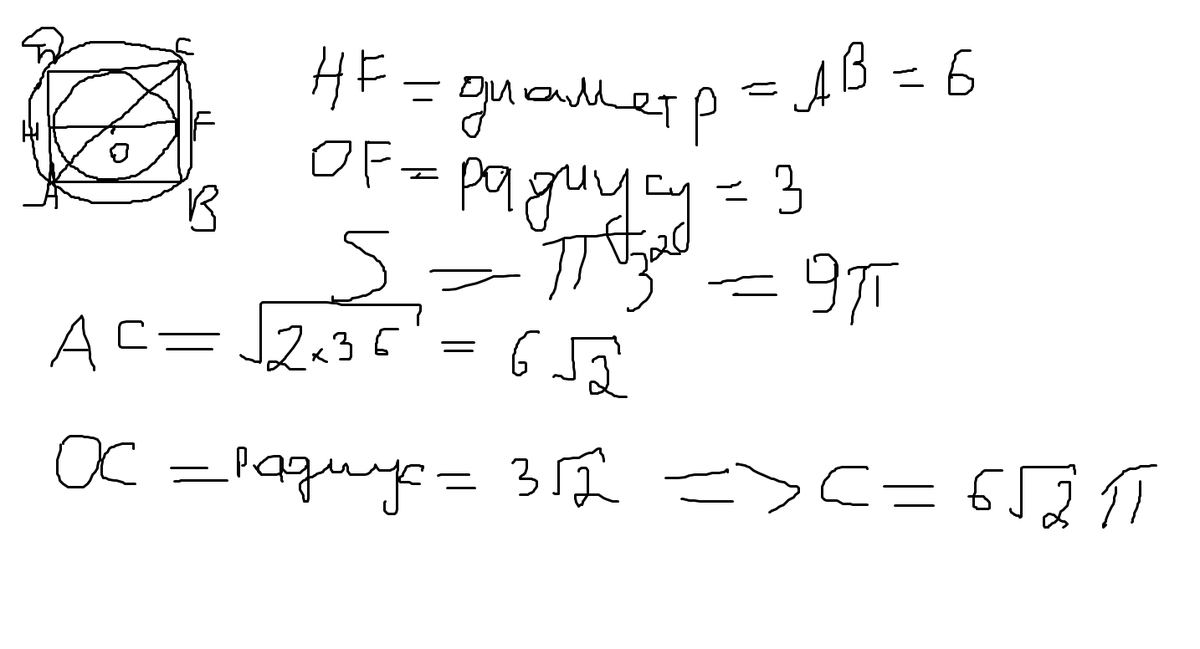
Это первая задача. (во вложении)
Приложения:
Ответ дал:
0
Так как сторона квадрата 6 см, то радиус описанной около квадрата окружности 3√2
выразим радиус меньшей окружности через него:
r=√2/2*R, где r-радиус меньшей окружности, а R-радиус большей окружности.
=> r=(3√2*√2)/2=6/2=3
Площадь круга находиться по формуле: π*r² => S=9π
Длина окружности находиться по формуле C=2π*R
C=6π√2.
Длина окружности равна 12π, по формуле выразим R:
12π=2π*R
R=6
В правильном треугольнике сторона равна R√3 => сторона равна 6√3
Площадь найдем по формуле: S=1/2*a*b*sinα
S=(108*sin60)/2
S=27√3
Ответ: №1 а) S=9π; б) C=6π√2; №2 S=27√3.
выразим радиус меньшей окружности через него:
r=√2/2*R, где r-радиус меньшей окружности, а R-радиус большей окружности.
=> r=(3√2*√2)/2=6/2=3
Площадь круга находиться по формуле: π*r² => S=9π
Длина окружности находиться по формуле C=2π*R
C=6π√2.
Длина окружности равна 12π, по формуле выразим R:
12π=2π*R
R=6
В правильном треугольнике сторона равна R√3 => сторона равна 6√3
Площадь найдем по формуле: S=1/2*a*b*sinα
S=(108*sin60)/2
S=27√3
Ответ: №1 а) S=9π; б) C=6π√2; №2 S=27√3.
Приложения:
Вас заинтересует
3 года назад
3 года назад
8 лет назад
8 лет назад
11 лет назад
11 лет назад