• Предмет: Математика
  • Автор: remrus
  • Вопрос задан 10 лет назад

Решить тригонометрические выражения!

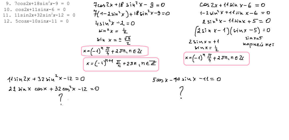
1,2,3  уравнение - сведение к квадратному, 4 - однородное перой степени, 5 - внесение общего множителя за скобку, 6,7 - разложение на множители с помощью тригонометрических формул,8 разложение на множители, 9 сведение в иду cos^2x=d, sin^2=d,10 - сведение к квадратному относительно sinx или cosx,11,12 уравнение сводящиейся к однородному 2 степени.




Приложения:

Ответы

Ответ дал: esmilya
0
Если понравилось решение - нажимай "спасибо" и "лучший" (рядом с кнопкой "спасибо") :)
Приложения:
Вас заинтересует