• Предмет: Алгебра
  • Автор: uvarovauliana75
  • Вопрос задан 2 года назад

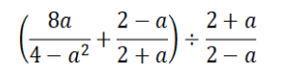
спрости вираз. Пжпж срочно!

Приложения:

Ответы

Ответ дал: bespalkovasilisa542
1

Ответ:

ответ будет 1, всё на фотке.

Приложения:
Вас заинтересует