• Предмет: Алгебра
  • Автор: kirilldondik02
  • Вопрос задан 2 года назад

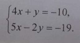
допоможіть будь ласка розв'яжіть систему рівняння​

Приложения:

Ответы

Ответ дал: Beautiful0pineapple
1

Ответ:

Объяснение:

ну якось

Приложения:
Ответ дал: sangers1959
1

Пояснення:

\displaystyle\\\left \{ {{4x+y=-10\ |*2} \atop {5x-2y=-19}} \right. \ \ \ \ \ \ +\left \{ {{8x+2y=-20} \atop {5x-2y=-19}} \right. \ \ \ \ \ \ \Rightarrow\\\\13x=-39\ |:13\\\\x=-3.\\\\4*(-3)+y=-10\\\\-12+y=-10\\\\y=2.

Відповідь: (-3;2).

Вас заинтересует