• Предмет: Математика
  • Автор: Jhbjn
  • Вопрос задан 2 года назад

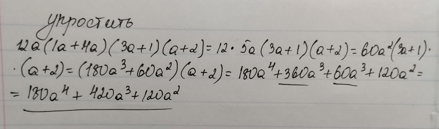
Упростить

12a(1a+4a)(3a+1)(a+2)=

Если можно то побыстрее потому что это для к/р (контрольная работа)

Ответы

Ответ дал: whaty0uwant
1

Ответ и решение на фото.

Приложения:

whaty0uwant: Могу написать решение подробнее. Если не сложно, отметьте как лучший ответ!)
Вас заинтересует