• Предмет: Алгебра
  • Автор: svgladkoff
  • Вопрос задан 2 года назад

Помогите решить интеграл. Очень срочно. Дам 35 балов. Пожалуйста

Приложения:

Ответы

Ответ дал: NNNLLL54
2

Ответ:

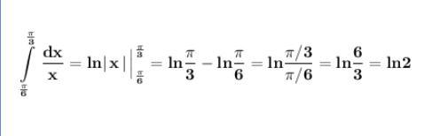
Определённый интеграл вычисляем по формуле Ньютона-Лейбница .

\bf \displaystyle \int\limits_{\frac{\pi }{6}}^{\frac{\pi }{3}}\, \dfrac{dx}{x}=ln|\, x\, |\, \Big|_{\frac{\pi }{6}}^{\frac{\pi }{3}}=ln\frac{\pi }{3}-ln\frac{\pi }{6}=ln\frac{\pi /3}{\pi /6}=ln\frac{6}{3}=ln2  

Приложения:

Аноним: NNNLLL54 добрий вечер! у меня в профиле 4 вопроса по алгебре, можете посмотреть и решить пожалуйста?
Вас заинтересует