• Предмет: Алгебра
  • Автор: jmaxim217
  • Вопрос задан 2 года назад

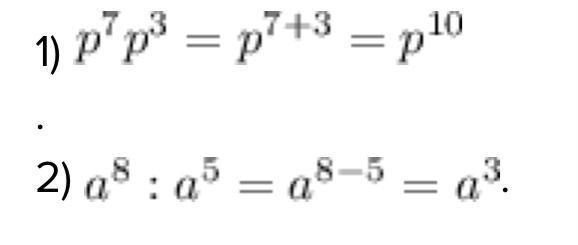
Виконайте дії:
p⁷p³
a⁸ : a⁵

Ответы

Ответ дал: sonikikvvv
0
………………………………….


—————————
Приложения:
Вас заинтересует