• Предмет: Алгебра
  • Автор: saglivika1
  • Вопрос задан 2 года назад

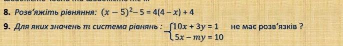
8. Розв'яжіть рiвняння: (x - 5)²-5 = 4(4 - x) + 4
9. Для яких значень т система рiвнянь : _10x+3y = 1 15x-my=10 не має розв'язкiв ?​

Приложения:

Ответы

Ответ дал: robotmixer
0

Ответ: 8. Розв'яжіть рiвняння: (x - 5)²-5 = 4(4 - x) + 4= x1+0,x2=6

Объяснение:

Вас заинтересует