• Предмет: Алгебра
  • Автор: pfbdvtfsr7
  • Вопрос задан 2 года назад

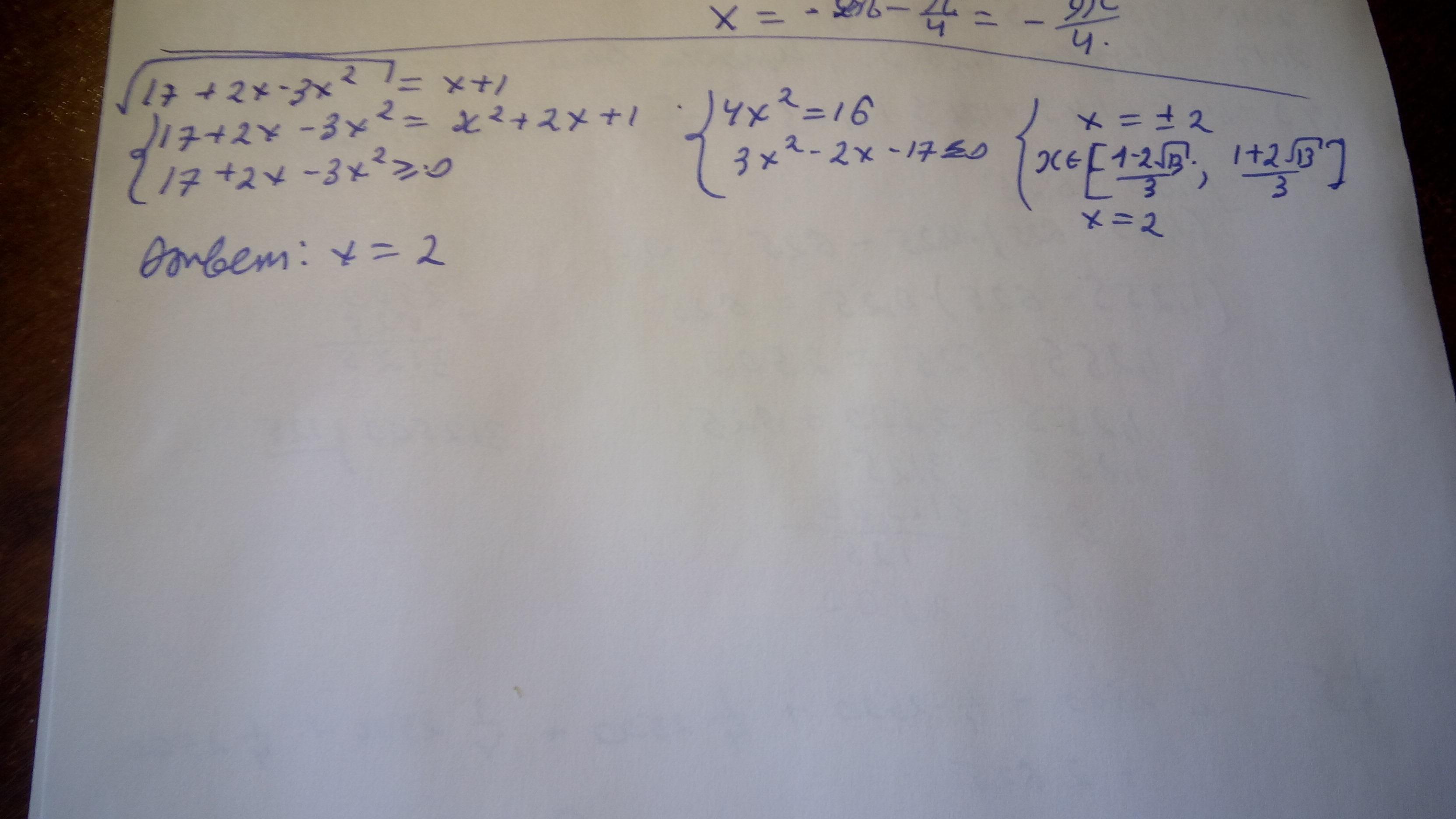
Розвʼяжіть рівняння: Корінь17 + 2x - 3x в квадраті = х +1.

Ответы

Ответ дал: svistunbogdan
1

Відповідь:

Пояснення:

Приложения:
Вас заинтересует