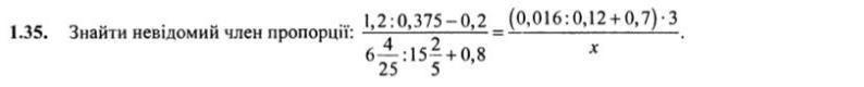
Допоможіть будь ласка. Знайти невідомий член пропорції (на скріншоті подано сам приклад) з детальним розв'язком.
Приложения:
                     
                            Ответы
                                            Ответ дал: 
                                                                                    
                                        
                                            
                                                
                                                
                                                
                                                    0
                                                
                                            
                                        
                                    Ответ:
56
Пошаговое объяснение:
Вас заинтересует
                
                        1 год назад
                    
                
                        1 год назад
                    
                
                        1 год назад
                    
                
                        3 года назад
                    
                
                        8 лет назад