• Предмет: Физика
  • Автор: XXLime
  • Вопрос задан 2 года назад

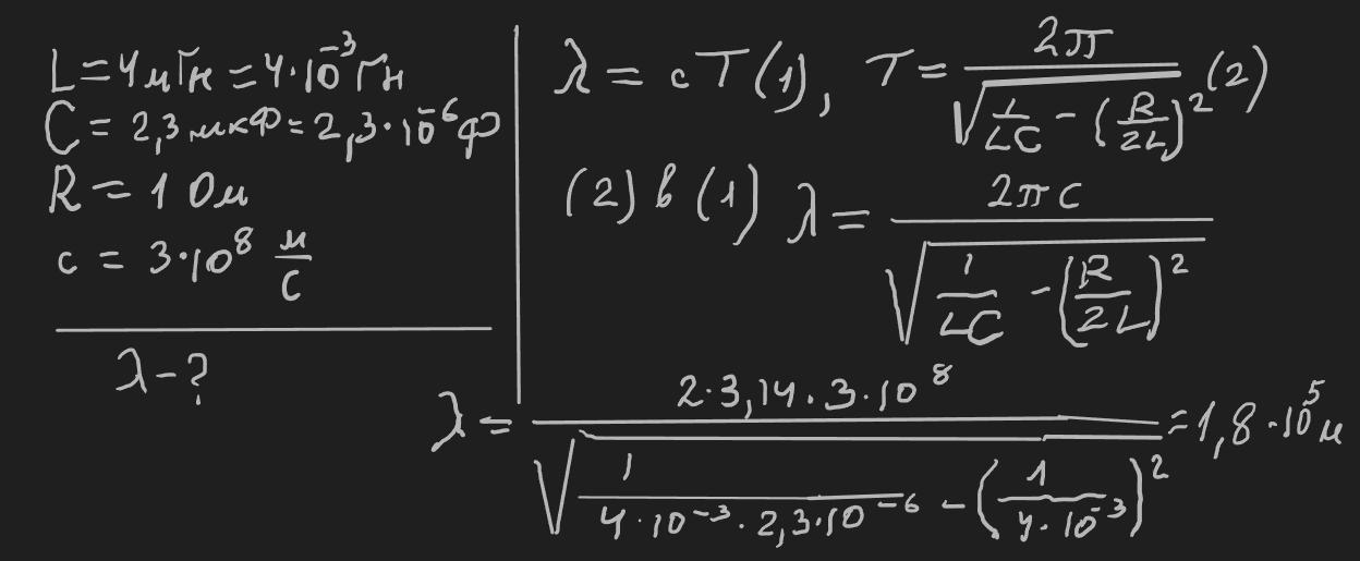
Коливальний контур складається з конденсатора ємністю С = 0,2 мкФ і котушки індуктивностю L = 5,07 мГн. При якому логарифмічному декременті загасання різниця потенціалів на обкладках конденсатора за час t = 1 мс змінюється в три рази? Який при цьому активний опір R контура?

Ответы

Ответ дал: spavlova2018
0

Ответ:

Объяснение:

короче так

Приложения:

XXLime: Це моя задача?
Вас заинтересует