Ответы
Ответ дал:
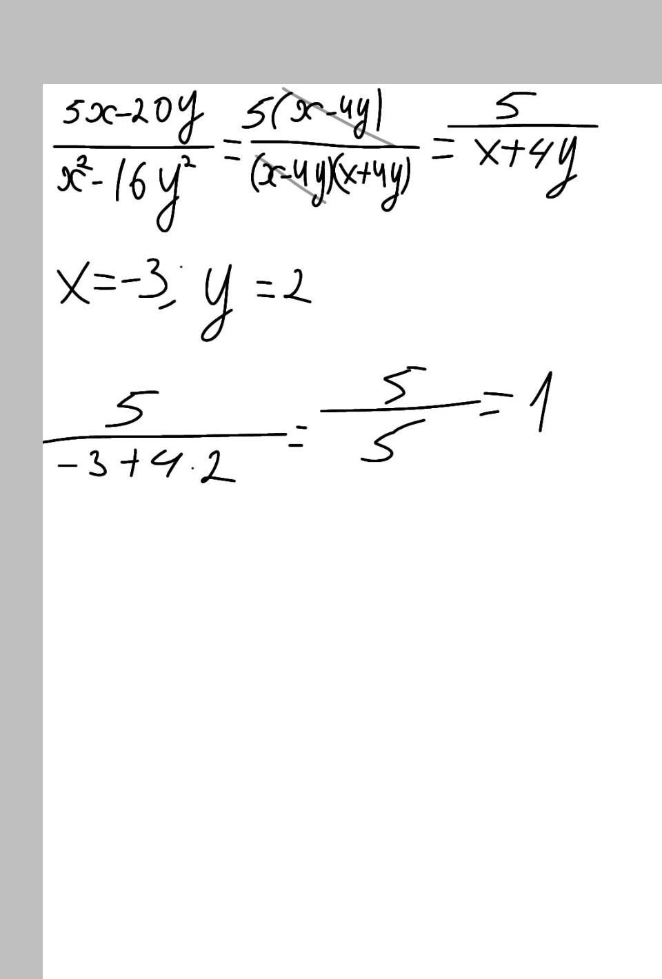
1
Объяснение:
...................................
Приложения:

Вас заинтересует
1 год назад
1 год назад
1 год назад
1 год назад
3 года назад
3 года назад
8 лет назад