Ответы
Ответ дал:
1
Ответ:
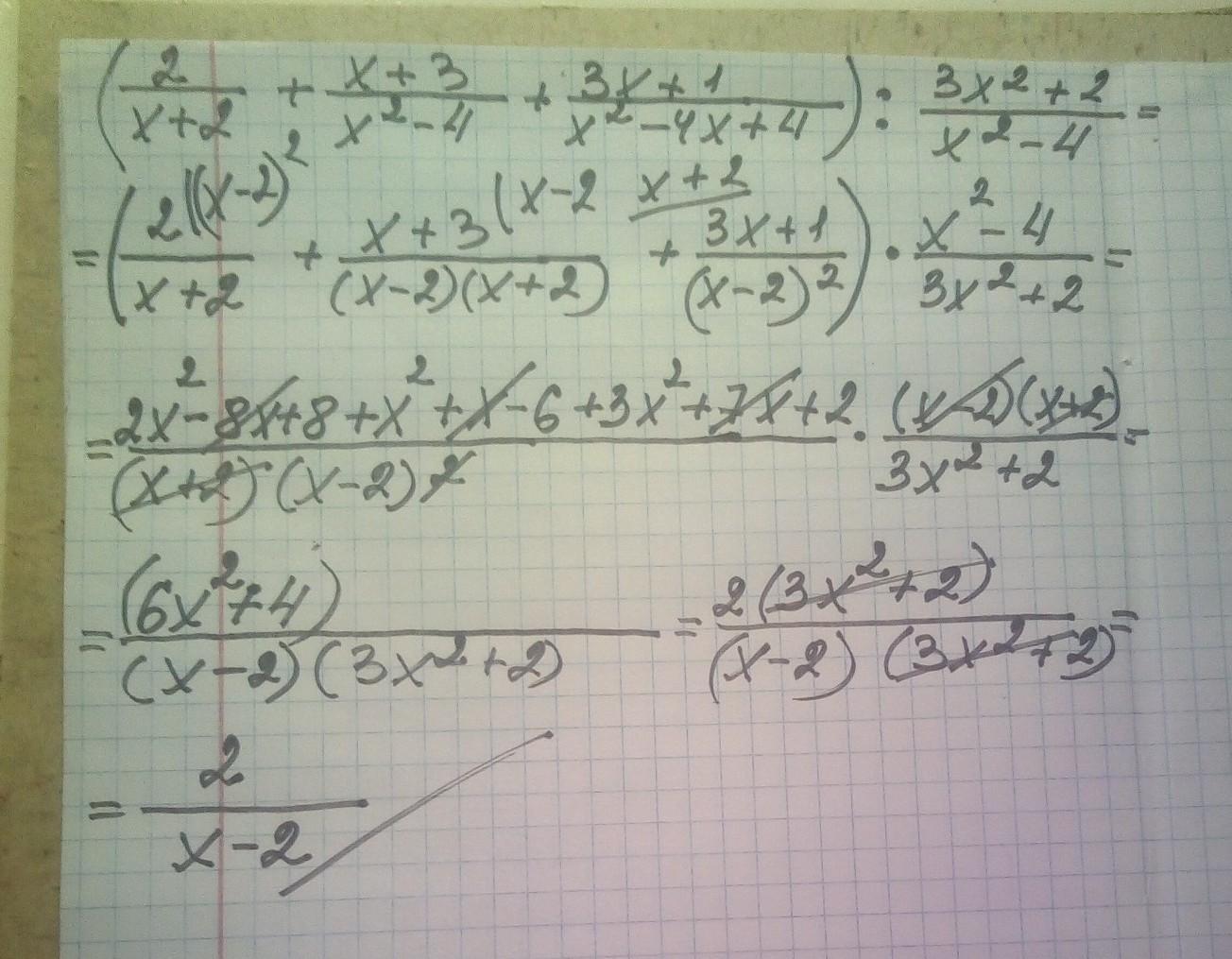
решение смотри на фотографии
Приложения:

Вас заинтересует
1 год назад
1 год назад
3 года назад
3 года назад
8 лет назад
(2/x + 2)(x - 2)(x + 2) + (x + 3) + 3(x + 1)(x - 2)/3x²+2
= (2x - 4 + 2(x + 2))/(x² - 4) + (x + 3) + (3x² - 3)/(3x² + 2)
= (4x + 2)/(x² - 4) + (x + 3) + (3x² - 3)/(3x² + 2)
Затем объединим дроби:
(4x + 2)(3x² + 2) + (x + 3)(x² - 4)(3x² + 2) + (3x² - 3)(x² - 4)
= 12x⁴ - 6x³ - 35x² + 134x + 26
-------------------------------------------------
(x² - 4)(3x² + 2)
Таким образом, упрощенное выражение равно (12x⁴ - 6x³ - 35x² + 134x + 26) / (x² - 4)(3x² + 2).