• Предмет: Математика
  • Автор: rebekkavilson
  • Вопрос задан 2 года назад

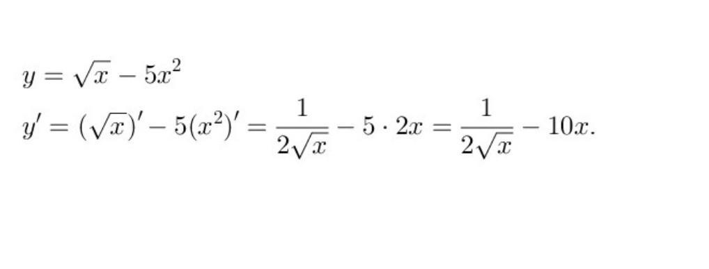
помогите пожалуйста. найти производную. даю 50 баллов​

Приложения:

Ответы

Ответ дал: slanazoz77
1

Ответ:

...............................

Приложения:
Вас заинтересует