• Предмет: Алгебра
  • Автор: fisukvika6
  • Вопрос задан 2 года назад

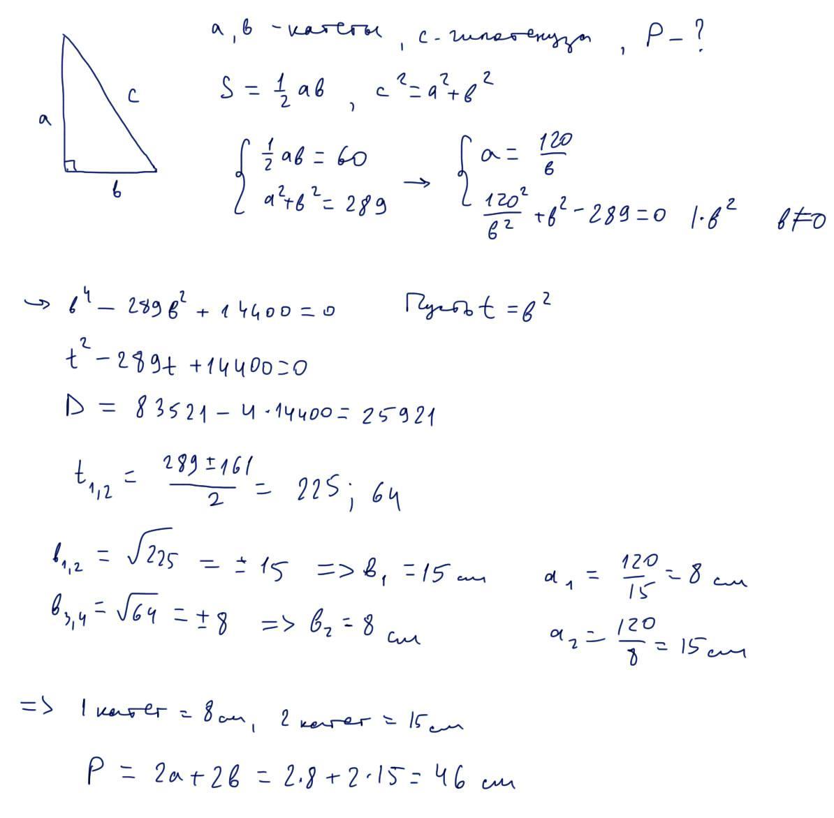
допоможіть будь-ласка, Площа прямокутного трикутника дорівнює 60см2, а його гіпоненуза - 17см. Знайти перемитер трикутника​

Ответы

Ответ дал: Warlock1
0

Ответ:

46 см

Объяснение:

Приложения:
Вас заинтересует