• Предмет: Математика
  • Автор: l64241403
  • Вопрос задан 2 года назад

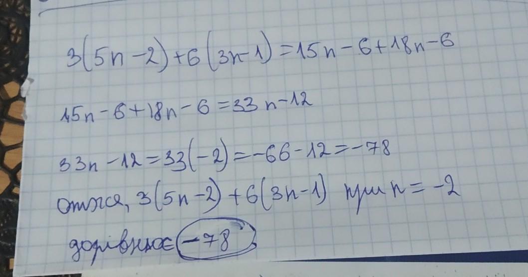
Спростіть вираз 3 (5n-2)+ 6 (3n-1) та знайдіть значення виразу при n=-2 ​

Ответы

Ответ дал: kidsnasta2500
0

Ответ:

;;;;Відповідь на листочку

Приложения:
Вас заинтересует